Skip to main content

Predicting the replicability of social science lab experiments

@article{Altmejd_ea_2019_PredictingReplicabilitySocial,
  title = {Predicting the Replicability of Social Science Lab Experiments},
  author = {Altmejd, Adam and Dreber, Anna and Forsell, Eskil and Huber, Juergen and Imai, Taisuke and Johannesson, Magnus and Kirchler, Michael and Nave, Gideon and Camerer, Colin},
  date = {2019},
  journaltitle = {PLOS ONE},
  volume = {14},
  number = {12},
  pages = {e0225826},
  issn = {1932-6203},
  doi = {10.1371/journal.pone.0225826},
  langid = {english}
}
Predicting the replicability of social science lab experiments
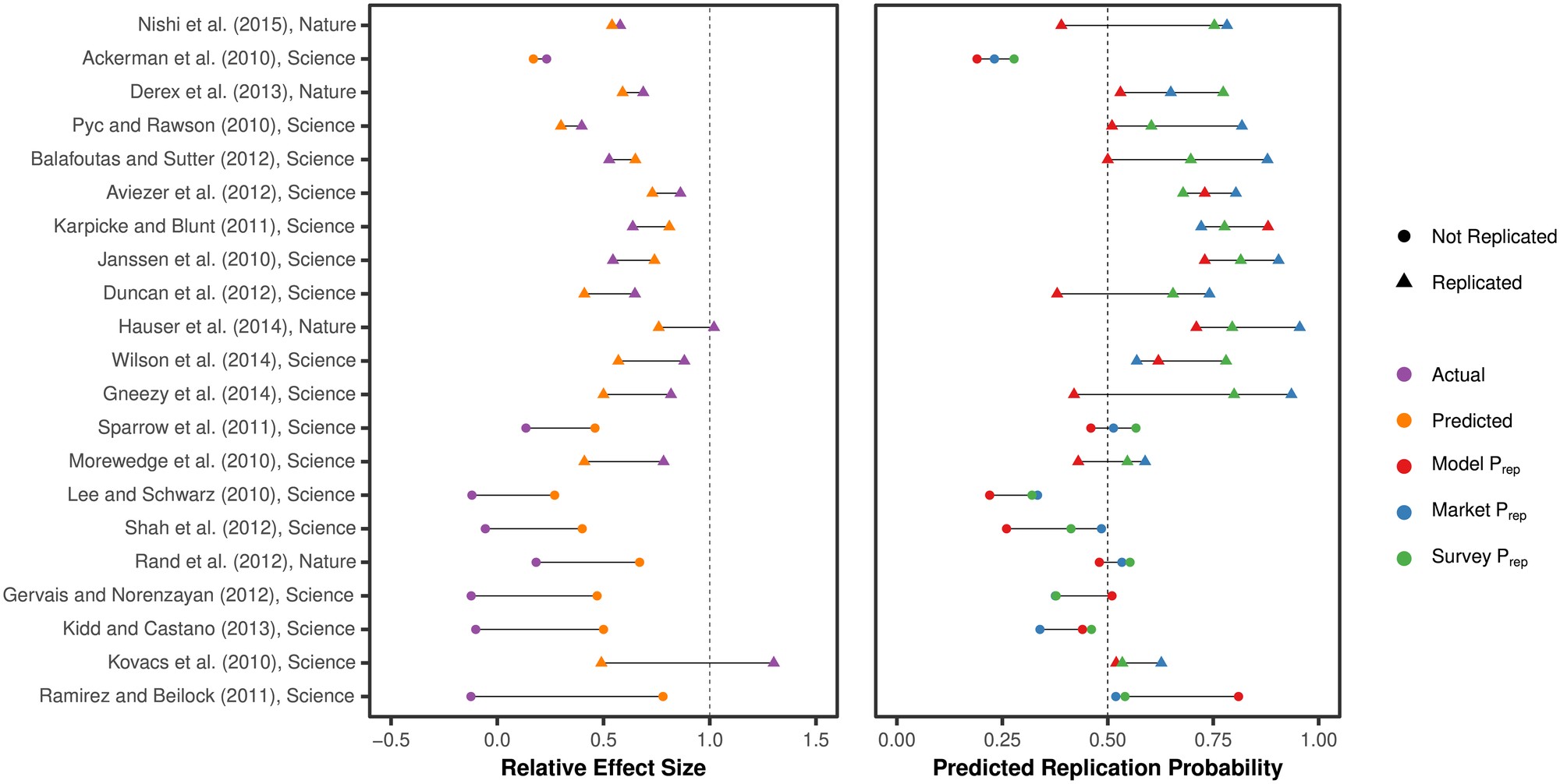
Predicted and actual results of the Social Sciences Replication Project. Model predictions were pre-registered before experiments were conducted. The left panel shows predicted (purple) and actual (orange) relative effect sizes. The right panel compares replication probabilities from the model, a prediction market, and a survey. Triangles indicate successful replications. The model correctly classifies 71% of outcomes.

Abstract

We measure how accurately replication of experimental results can be predicted by black-box statistical models. With data from four large-scale replication projects in experimental psychology and economics, and techniques from machine learning, we train predictive models and study which variables drive predictable replication. The models predicts binary replication with a cross-validated accuracy rate of 70% (AUC of 0.77) and estimates of relative effect sizes with a Spearman ρ of 0.38. The accuracy level is similar to market-aggregated beliefs of peer scientists (Camerer et al., 2016; Dreber et al., 2015). The predictive power is validated in a pre-registered out of sample test of the outcome of Camerer et al. (2018), where 71% (AUC of 0.73) of replications are predicted correctly and effect size correlations amount to ρ = 0.25. Basic features such as the sample and effect sizes in original papers, and whether reported effects are single-variable main effects or two-variable interactions, are predictive of successful replication. The models presented in this paper are simple tools to produce cheap, prognostic replicability metrics. These models could be useful in institutionalizing the process of evaluation of new findings and guiding resources to those direct replications that are likely to be most informative.